반응형

전체 글 46

서중콘크리트 재료, 타설 및 양생 시점, 혼화제 배합비

서중콘크리트는 기온이 섭씨 25도 이상인 여름철, 특히 한낮 최고 기온이 30도를 넘는 시기에 시공되는 콘크리트를 말합니다. 고온 환경에서는 수화 반응이 급격하게 진행되면서 열이 축적되고, 수분 손실이 빨라지며, 이로 인해 균열 발생 가능성이 높아집니다. 특히 구조물의 초기 강도 확보 전 균열이 생길 경우, 그로 인해 발생하는 누수, 철근 부식, 장기적 내구성 저하 등은 전체 구조물의 안정성에 큰 위협이 됩니다. 따라서 서중콘크리트는 단순히 더운 날 시공되는 콘크리트가 아닌, 복잡한 온도·습도 환경 속에서 최적의 품질을 확보해야 하는 고난도 공정입니다. 이번 글에서는 여름철 콘크리트 시공 시 가장 문제가 되는 균열 발생을 방지하기 위한 3가지 주요 기술에 대해 자세히 설명합니다. 현장에서 직접 적용 가능..

탄소섬유 보강재 종류에 따른 시공방법 및 단계별 고려사항

탄소섬유 보강법(CFRP Reinforcement Method) 개요 탄소섬유 보강법은 기존 구조물의 손상, 노후화, 내진 성능 부족, 또는 설계 하중의 증가 등으로 인해 기존 부재의 성능을 보완 또는 향상하기 위한 고성능 보강공법입니다. 탄소섬유는 철보다 강도는 약 7~10배 높고, 무게는 약 1/5 수준으로 매우 가볍고 강도가 높으며, 내식성, 내화학성, 내 피로성이 우수하여 콘크리트 구조물, 교량, 터널, 건축물의 보, 기둥, 슬래브 등 다양한 부재에 적용됩니다. 탄소섬유 보강재 종류에 따른 시공 방법 및 품질관리 방안1. 시트형 CFRP (탄소섬유 시트 / Carbon Fiber Sheet)1) 특징얇고 유연한 시트 형태로, 다양한 곡면 형상이나 비정형 구조물에도 적합하며, 적층 횟수에 따라 보강..

PC공사(Precast Concrete Construction), PC 공사 접합부 시공

PC공사 (Precast Concrete Construction) 1. PC공사의 정의 (Precast Concrete Construction)PC공사란 Precast Concrete, 즉 프리캐스트 콘크리트를 활용하여 수행되는 공사방식을 말합니다. 이는 콘크리트 구조물의 구성 요소를 현장이 아닌 별도의 공장에서 미리 제작한 후, 이를 시공 현장으로 운반하여 설치하고 필요시 접합 및 보강 작업을 통해 하나의 일체화된 구조체로 완성하는 시공 기법입니다.전통적인 현장 타설 방식과는 달리, PC공사는 시공 속도, 품질, 안전성 측면에서 많은 장점을 가지고 있으며, 특히 대량 반복 생산이 가능한 구조물에서 그 효율성이 극대화됩니다. 2. PC공사의 주요 구성요소구성 요소상세 설명PC 부재공장에서 제작되는 주요 ..

흙의 연경도 및 흙의 전단강도 정리

1. 흙의 연경도 (Consistency of Soil) 1.1 개요 흙의 연경도는 흙이 함수비 변화에 따라 보이는 물리적 상태의 변화를 말하며, 주로 점토질 흙에서 중요한 특성이다. 즉, 흙이 고체 상태에서 반고체, 소성상태, 액상태로 변화하는 일련의 과정을 통해 흙의 일관성(Consistency)을 평가하며, 이는 구조물 시공 및 안정성 평가의 중요한 기초 자료로 활용된다.연경도는 주로 아터버그 한계(Atterberg Limits)를 통해 정량화하며, 토질의 분류, 기초 설계, 연약지반 판별 등 다양한 분야에 활용된다. 1.2 아터버그 한계 (Atterberg Limits) 아터버그 한계는 점토질 흙의 함수비에 따른 물리적 상태 변화를 나타내는 한계값으로 다음과 같은 항목으로 구분된다.액성한계 (LL..

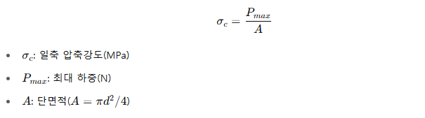
암석 압축강도 시험 목적, 시험 절차, 분류

암석 압축강도 시험(Uniaxial Compressive Strength Test)암석의 일축 압축강도(Uniaxial Compressive Strength, UCS)는 암석공학 및 암반역학에서 가장 기본적이면서도 중요한 기초 물성치 중 하나로, 암반의 지지력, 굴착성, 안정성 평가, 지반분류 등 다양한 설계 및 해석 단계에 활용된다. 암석 압축강도 시험은 실내시험 중 하나로, 원형 시료에 일축 상태의 압축하중을 가하여 파괴될 때의 최대하중을 측정함으로써 암석의 강도를 정량화한다. 1. 시험 목적 및 필요성암석의 압축강도는 암반구조물의 안정성 및 설계기준 결정에 핵심적인 물성값으로, 다음과 같은 목적을 가지고 수행된다.터널, 사면, 댐 기초 등의 암반구조물 안정성 평가굴착계획 수립 시 암석의 굴착 난이도..

매스콘크리트 개요 및 시공관리 방안

매스콘크리트(Mass Concrete)의 개요 매스콘크리트(Mass Concrete)는 일반 콘크리트보다 단면 치수가 크고 부피가 큰 콘크리트 구조물에 적용되는 특수 콘크리트로, 콘크리트 내부에서 발생하는 수화열로 인한 온도 상승과 온도균열(Cracking)을 효과적으로 제어하는 것이 핵심 관리 요소이다. 매스콘크리트 시공관리 방안 건설현장에서의 일반적인 기준에 따르면, 단면 두께가 80cm 이상인 구조물 또는 단면 두께가 50cm 이상이면서 1회 타설량이 200㎥ 이상인 경우 매스콘크리트로 분류된다. 이 기준은 「콘크리트 표준시방서(KS F 2403)」 및 관련 지침에 근거하며, 해당 조건에 해당되는 경우 온도관리계획, 수화열 해석, 균열방지 대책 등이 반드시 수반되어야 한다. 1. 수화열 발생 및 온..

커튼월 특징 및 분류, 커튼월 공사 시공

커튼월 특징 및 분류 커튼월(Curtain Wall)은 건물의 외벽에 설치되는 비내력 외장 시스템으로, 건축 구조체(기둥, 보 등)의 하중을 받지 않고 자체적으로 고정되어 외부 환경으로부터 건물을 보호하는 역할을 합니다. 주로 고층 건물이나 상업용 대형 건축물에 사용되며, 건물 외관의 미적 효과를 극대화하면서도 단열, 차음, 방수 등의 성능을 확보할 수 있는 고급 외장 마감 방식입니다.커튼월은 주로 알루미늄 프레임과 유리로 구성되며, 최근에는 복층 유리, 로이유리(LOW-E), 삼중 유리 등 고성능 유리와 함께 금속 패널, 세라믹, 석재 등 다양한 재료도 적용되고 있습니다. 커튼월 시스템은 경량화된 구조로 시공성 및 유지관리 측면에서 매우 유리하며, 외관 디자인의 자유도를 높이는 데도 큰 역할을 합니다...

장애물 없는 생활환경 인증, 범죄예방 환경설계 인증

장애물 없는 생활환경 인증 (Barrier Free, BF 인증) 1) 목적장애인, 노인, 임산부 등 교통약자의 접근·이용·이동의 편의성을 보장하여 차별 없는 생활환경을 구축하고, 도시 및 건축물 설계 단계에서부터 무장애 설계를 촉진하기 위한 제도입니다. 2) 근거 법령「장애인·노인·임산부 등의 편의증진 보장에 관한 법률」 제10조의 2 3) 주요 특성공공건축물은 의무적 적용 (대통령령 대상)민간시설은 자율 신청 가능예비인증(설계단계)과 본인증(사용승인 후) 이원화인증 등급별(일반~최우수)로 인센티브 및 홍보 효과 기대 구분주요내용목적장애인, 노인, 임산부 등 교통약자를 위한 접근·이용·이동이 편리한 환경 조성법적근거「장애인·노인·임산부 등의 편의증진 보장에 관한 법률」 제10조의2의무대상국가·지자체가 ..

[일반사항] 에너지절약형 친환경 주택의 건설기준

에너지절약형 친환경주택 1. 제도 개요 ‘친환경주택 건설기준’은 에너지효율이 우수하고 온실가스 배출이 적은 건축물을 확대하기 위해 마련된 제도로, 주택의 총 에너지 사용량 또는 이산화탄소(CO₂) 배출량을 건축허가(사업승인) 단계에서 사전에 검토함으로써, 에너지절약형 건축을 유도하기 위한 법적 제도입니다. 해당 기준은 2016년 1월 1일부터 시행되었으며, 주택법에 근거하여 공동주택 건설 시 의무적으로 적용되며, 주거환경 개선 및 지속가능한 개발을 위한 국가적 에너지정책의 일환입니다. 2. 적용 대상 및 평가 기준 1) 적용 대상-「주택법 시행령」 제27조 제2항에 따라- 총 30세대 이상의 공동주택을 건설하는 경우 사업승인 또는 건축허가 단계에서 ‘친환경주택 건설기준’을 적용받아야 합니다.세대수 산정..

[일반사항] 석면 폐기물 관리

석면폐기물 관리 1. 석면 해체·제거 작업의 사전허가 및 금지사항 1) 관련 법령 및 규정 「산업안전보건법」 제38조의 2(석면조사제 38조의 2(석면조사), 제38조의 3(작업기준 제38조의 3(작업기준), 제38조의 5(제38조의 5(신고 및 확인)「산업안전보건법 시행규칙」 제80조의 7「산업안전보건기준에 관한 규칙」 제6절(석면작업의 안전기준) 2) 석면조사 대상(사전조사 필수 조건) 건축물 또는 특정 구조물 해체·철거 공사를 시행하기 전, 해당 구조물에 석면이 존재하는지를 사전조사해야 하는 기준은 다음과 같습니다. 건축물의 연면적이 50㎡ 이상이면서, 그중 철거·해체 대상 면적이 50㎡ 이상인 경우주택의 연면적이 200㎡ 이상이고, 그중 철거·해체 면적이 200㎡ 이상일 경우단열재·보온재·내화피복..

반응형