암석 압축강도 시험(Uniaxial Compressive Strength Test)
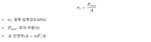
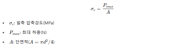
암석의 일축 압축강도(Uniaxial Compressive Strength, UCS)는 암석공학 및 암반역학에서 가장 기본적이면서도 중요한 기초 물성치 중 하나로, 암반의 지지력, 굴착성, 안정성 평가, 지반분류 등 다양한 설계 및 해석 단계에 활용된다. 암석 압축강도 시험은 실내시험 중 하나로, 원형 시료에 일축 상태의 압축하중을 가하여 파괴될 때의 최대하중을 측정함으로써 암석의 강도를 정량화한다.
1. 시험 목적 및 필요성
암석의 압축강도는 암반구조물의 안정성 및 설계기준 결정에 핵심적인 물성값으로, 다음과 같은 목적을 가지고 수행된다.
- 터널, 사면, 댐 기초 등의 암반구조물 안정성 평가
- 굴착계획 수립 시 암석의 굴착 난이도 예측
- 지반 분류 시스템(RMR, Q-system, GSI 등) 입력자료
- 암석의 역학적 분류 및 풍화정도 판별
- 보강재 및 지보계 설계기준 수립을 위한 기초자료
암반구조물 설계에 있어 비파괴시험(NDT) 및 현장시험이 갖는 한계점을 보완하기 위한 실내 정밀 시험으로도 중요하게 취급된다.
2. 시험 장비 및 시료 준비
(1) 시험 장비
압축시험기: 일정한 하중 재하 속도를 유지할 수 있으며, 하중-변위 기록 기능 보유
측정 장비: 캘리퍼, 버니어캘리퍼, 마이크로미터 등 시료 직경 및 길이 측정
시료 가공 장비: 양단 평탄화용 연삭기
변위 측정계(옵션): 변형률 측정 목적의 LVDT 또는 스트레인게이지 등
(2) 시료 준비
시추 코어로부터 균열이 없고 균질한 부분을 절단하여 제작
지름:높이 = 1:2 ~ 1:2.5 권장 (최소 1.8 이상)
시료 양단은 수평 및 수직오차 ±0.001 rad 이내로 평탄하게 연마
시료의 표면은 균열, 이 질재, 충전물 등 결함이 없어야 하며, 조밀한 암석이어야 함
3. 시험 절차
- 시료 측정: 시료의 지름 및 길이를 3~4 지점에서 측정하고 평균값 산정
- 압축시험기 세팅: 시료를 하중축에 정렬하여 수직으로 배치
- 하중 재하: 0.5~1 MPa/s 범위의 일정 재하속도로 압축하중을 인가
- 파괴 관찰: 시료가 파괴될 때 최대 하중(Pmax)을 기록
- 결과 분석: 압축강도 및 파괴양상 기록
4. 암석강도 분류 (ISRM 기준)
| 암석강도 등급 | 일축압축강도 (MPa) | 예시 암석 |
| 매우 약함 | < 5 | 풍화혈암, 셰일 |
| 약함 | 5 ~ 25 | 혈암, 점판암 |
| 중간 | 25 ~ 50 | 사암, 석회암 |
| 강함 | 50 ~ 100 | 화강암, 편마암 |
| 매우 강함 | > 100 | 현무암, 결정질 화성암 |
*압축강도 계산

5. 시험 시 고려사항
- 시료 건조 여부: 건조 상태 또는 포화 상태 시험에 따라 강도값이 달라지며, 시험 전 시료 상태를 명확히 기록해야 한다.
- 하중 방향: 절리, 층리 등 구조면과 하중 방향의 관계에 따라 시험결과가 달라질 수 있음
- 결과 신뢰성 확보: 시험은 동일 암종에 대해 최소 3~5개 이상 수행하여 평균값을 사용하며, 이상치는 제거
6. 적용 기준 및 참고 문헌
ASTM D7012: “Standard Test Method for Compressive Strength and Elastic Moduli of Intact Rock Core Specimens”
ISRM Suggested Methods (1979, 2007): “Suggested Methods for Determining the Uniaxial Compressive Strength and Deformability of Rock Materials”
한국지반공학회 지침 및 국내 실내시험 표준지침서
7. 시험 결과의 활용
시험을 통해 얻어진 암석 압축강도 값은 다음과 같은 분야에서 직접 활용된다.
지반분류 시스템(RMR, Q-system)의 정량적 입력자료
굴착공법 선정 시 암석 파쇄성 예측
NATM, TBM 등의 굴진속도 예측 및 설계
사면 안정성 해석 및 보강재 결정
기초 설계 시 지지력 산정 및 안전율 적용
또한, 암반 삼축압축시험, 인장강도시험(Brazilian Test), 동결융해 시험 등과 병행하여 암석의 전반적 역학적 특성에 대한 다각적 평가가 이루어진다.
결론
암석 압축강도 시험은 구조물의 안전성 및 경제성을 결정하는 매우 중요한 시험으로, 실무에서는 암반지반 특성 파악과 설계 입력자료 확보의 기초자료로 활용된다. 정확하고 반복성 있는 시험을 위해서는 시험시료 준비와 시험 조건에 대한 철저한 관리가 선행되어야 하며, 시험 결과 해석 시 암석의 특성과 현장 조건을 함께 고려하여야 한다. 암석의 물리·역학적 특성에 대한 이해는 지반공학적 의사결정의 정확성과 효율성을 좌우하는 핵심 요소이다.
'건축시공기술사 시험 일정 및 정보' 카테고리의 다른 글
| PC공사(Precast Concrete Construction), PC 공사 접합부 시공 (0) | 2025.07.10 |
|---|---|
| 흙의 연경도 및 흙의 전단강도 정리 (0) | 2025.07.10 |
| 매스콘크리트 개요 및 시공관리 방안 (0) | 2025.07.08 |
| 커튼월 특징 및 분류, 커튼월 공사 시공 (0) | 2025.07.07 |
| 장애물 없는 생활환경 인증, 범죄예방 환경설계 인증 (1) | 2025.07.02 |